Tags
San Diego Unified School District, San Diego Unified School District Superintendent Cindy Marten
Today we present Part 3 of the 3 part series by our special confidential resource named “Inside Unified”. Today the focus is on the San Diego Unified School District (SDUSD) summary of performance over Cindy Marten’s tenure as SDUSD Superintendent by examining the credibility of the UC A-G trend data as it is tied to AP, CAASPP and Grades
Part 1 – The REAL SDUSD AP and CAASPP Performance was posted on Sunday, February 28, 2021.
Part 2 – The REAL SDUSD Grades and Grading Policy was posted on Tuesday, March 2, 2021.
All of the data enclosed in this report is taken directly from State and/or SDUSD created documentation.
The graduation and UC a-g rates in San Diego Unified have been a topic of conversation and controversy for years.
For context, graduation rates come in two formats:
- The graduation rates of the graduating class
- The cohort rate of graduation which measures the rates of graduates between grades 9-12.
Graduation rates in SDUSD are the sum of taking the “right” set of courses, earning a “D” letter grade or higher in courses, and obtaining a culminating GPA of 2.0 or higher.
Graduation rates are controversial because they only tell the story of the students who actually made it through the system and can be manipulated by transfers of students to alternative schools where the graduation standards are half of those of the traditional school. Many times these transfers take place after the 10th grade year and continue through the senior year. (It’s the difference between earning 44 vs 22 credits.) Graduation rates also do not consider the retention rates of students across the K-12 system which I will discuss later in this post.
UC a-g rates are the sum of taking courses that are required for admission to the University of California System and earning C or better grades in these courses. The measure of this rate does not correspond with the total sum of admissions requirements, but instead covers the coursework (courses) that qualify for admission.
The controversy of these scores are that they may not really reflect college readiness due to several factors:
- Students may take the right courses and earn the right grades, but if the grades are not an accurate and objective assessment of subject mastery the student may not actually be college ready (please refer to the March 2, 2021 posting on grades for more about the subjectivity of grades in San Diego Unified)
- Students who qualify for UC a-g may not have the other factors that are required for UC admission. For example, if students earn all Cs in UC a-g courses and have a GPA of 2.0 the likelihood of a student with a 2.0 GPA getting into a UC school is very low (please see the UC data charts below for SDUSD application, admission and attending rates by subgroup)
- While UC application scoring for admission is changing (the UC system will shift to no longer required the SAT) the multiple measures required to truly make a student ready for the University system are not measured or required by the district or state. High profile local community members have pointed this out to SDUSD and even suggested that the SDUSD standards for assessing graduation at all levels be increased, but whether that was followed up on is pretty clear in the Graduation Strategies report. (I will say more about this below.)
It is important to understand this context in order to understand the bigger picture.
I am not going to argue the validity of the graduation or UC a-g scores as they are in line with the low expectations set by the state. But I am going to question the impact.
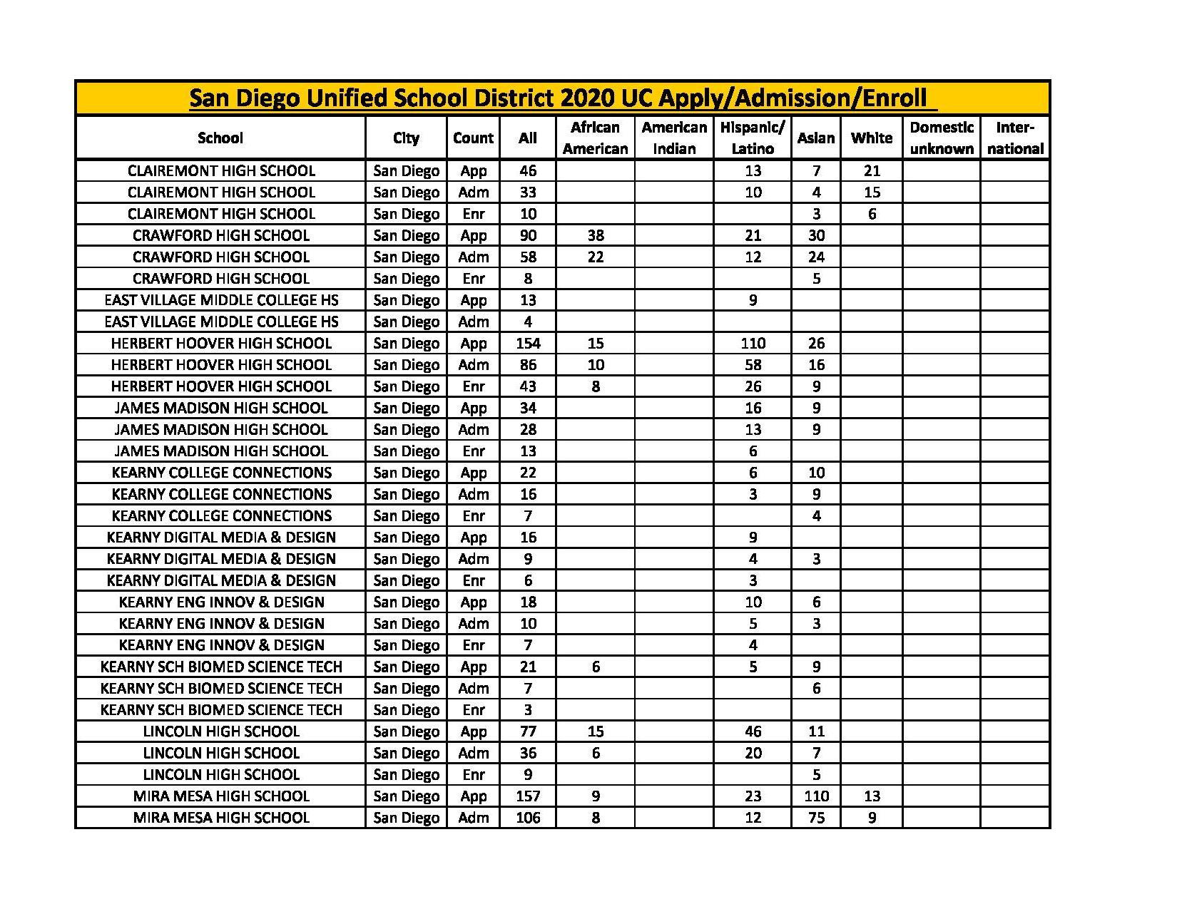
So, let’s look at the University of California admissions data from 2016-2020.
Here is the Full List: SDUSD UC 2016-2020
And here is 2020 as an example:
The chart below shows the African American data revealing the numbers of students from SDUSD public schools (not charter or private) who applied to the UC system, were admitted to the UC system, and who enrolled in the UC system. I would expect to see some increase in these numbers if the high school UC a-g rate was improving significantly.
As you examine the entire list with all ethnicities from 2020 above, notice the gaps between the data of Black and Latino students vs. White and Asian. The data is disproportionate at the ethnicity and school levels.
Over the last two years (prior to COVID) the UC a-g data has also been in question. Kearny, Lincoln and Morse High Schools were awarded a Gear Up Grant that included transcript auditing services. For two years the transcript audits completed by TES—University of California Transcript Evaluation Services—produced data outcomes that did not match the UC a-g data that was provided to the principals by the district (the same data that they give to the state.) This was reported to the district.
Was anything done? Not that we know of.
Supporters of Cindy Marten’s nomination have also used UC a-g data to defend her success and I would like to examine those narratives and claims in this post.
In response to communities of San Diegans responding poorly to Cindy Marten’s nomination for US Deputy Secretary of Education, KPBS published an article that included comments by Dr. Pedro Noguera, the Dean of the Rossier School of Education at the University of Southern California.
It said that he “led a study of the district that found it had increased both graduation and college-readiness rates for black students.” It is true that Dr. Pedro Noguera’s team did lead a study in San Diego Unified that focused on graduation and UC a-g readiness. That study is attached here: SDUSD Graduation Strategies Report
But the part of the story that he and others continue to leave out is that after the 2016 graduation rates were reported, there were many skeptics who questioned the results. In response, Trustee Richard Barrera and Trustee Sharon Whitehurst-Payne established that Board Select Committee on Graduation Standards and Strategies.
This committee included an assortment of high profile members of the local community including Mel Katz and Dr. Pedro Noguera who have recently given the media interviews in support of Cindy Marten’s nomination. The $20,0000 report of the findings from the Board Select Committee on Graduation Standards and Strategies was published with recommendations from the committee.
As members of this committee, I have the following questions for Mel Katz and Dr. Pedro Noguera:
On page 13 of the report it is revealed that 50% of the black students in the 2016 cohort left SDUSD. That is why the committee prioritized “the need for regular District reporting to the public on how entire cohorts of students are faring, who is leaving the District and why, and information on the degree to which leavers were off track to meet the new graduation standard.”
• Did you ever see a board report or presentation on student group retention rates?
• Did you ever ask to see one?
• Did you ever check up on any of the recommendations you made based on the data you saw?
• Did you ask for “Leaver data”?
• Did you follow up on the leaver data that was recommended in the report to track the “leaver” rates of special education student
• Did you ever call KPBS, the San Diego Union Tribune or the Voice of San Diego to report these inequities?
You recommended “reporting annually the percentage of students leaving after Grades 10 and 11 who were on- and off-track to graduate.
The District should conduct a cohort study which includes specific analysis of courses taken, GPA, attendance, a-g completion, ACT/SAT scores, graduation rate, college enrollment and college persistence to better understand the extent to which District graduates are prepared. Through this information, the District and the public can gain a fuller picture of how close the District is coming to preparing all students for college.”
• Did you ever see a board report or presentation reporting the annual percentage of students leaving after 10th and 11th grade who were on and off track to graduate?
• Did you ever ask to see one?
• Did you ever check up on any of the recommendations you made based on the data you saw?
• Did you ask for the cohort study?
• Did you ever call KPBS, the San Diego Union Tribune or the Voice of San Diego to report these inequities?
You recommended in the report that “The District should consider setting a target to decrease the percentage of entering high school students who leave for charter or other non-District-managed schools in the next several years.
By setting such a target, the District will want to understand the reasons why students leave, and to set in place supports to encourage more students to stay and thrive. Ultimately, such efforts could increase the percentage of San Diego youth who graduate from high school ready for college.”
• Did you ever see a board report or presentation reporting the number of students leaving for charters?
• Did you see a report onthe reasons why students leave?
• Did you see a report on the supports are set in place to encourage more students to “stay and thrive?”
• Did you ever ask to see one?
• Did you ever check up on any of the recommendations you made based on the data you saw?
• Did you ever call KPBS, the San Diego Union Tribune or the Voice of San Diego to report these inequities?
Ultimately this committee acknowledged that the SDUSD UC a-g and graduation data was accurate against the low standards of the state and made recommendations to ensure a meaningful graduation with higher standards for retaining and supporting students. Imagine what SDUSD kids would have received if you would have held the district accountable.
Speaking of accountability, consider the article supporting the nomination of Cindy Marten which was distributed by the Southern California Beacon News. Their motto is “We are a digital media news source committed to sharing factual information with our readers.”
The article titled Biden Chooses School Equity Leader Superintendent Cindy Marten for Department of Education contains some claims that we may need to unpack:
Marten is praised for her success by being studied by equity leaders:
Linda Darling-Hammond’s Positive Outliers Report Linda Darling-Hammond’s Positive Outliers Report examined the following SDUSD data:
- CAASPP 2014-15, 2015-16 and 2016-17
- Four Year Graduation Rates 2017
- Suspension rates from 2016-17.
Her team conducted a case study in San Diego Unified School District to determine “what factors may account for the success of all students in the district and for that of students of color in particular?”
To find out which factors accounted for the data success in SDUSD, her team conducted 20 interviews with staff (12 of the 20 staff were Cindy Marten’s central office managers, and the other 8 were hand selected district office teachers and site managers/teachers)
I’m not sure this was a very objective or comprehensive span of stakeholders who could speak to the student success (or lack of success) in the district. These 20 people shared and validated a subjective and limited district narrative about student success strategies that painted Cindy Marten as an exceptional leader.
• Can you imagine how this discussion may have shifted had the interviewees not be handpicked, or if they had included the parent or community leaders from the DELAC (District English Learner Advisory Council), Special Education CAC (Community Advisory Committee), or the Latino Advisory Committee?
• Can you imagine what teachers and/or principals who were not hand-picked might have included about whether or not the initiatives included in this report were actually being implemented on the ground?
• Wouldn’t it be important to know if the efforts being highlighted in this report produced compliance or commitment?
Marten is praised for replacing the Lincoln High Administration:
Cindy Marten might have removed the former administrative team at Lincoln High School after an ongoing series of events that district staff was well-aware of for quite some time, but her appointment of the new team certainly revealed her continued poor judgment, lack of transparency and tendency for deceit. She hired Stephanie Brown from Montgomery Middle School to lead Lincoln (The same principal who was highlighted in a report by Dr. Luke Wood as having the highest discipline rates for black students in her school.)
Marten board approved Stephanie Brown as the principal of Lincoln High School but did not mention to the board or the public in that meeting that Stephanie Brown would only be the principal of the 9th grade—as outlined in Stephanie’s 5 year plan. To cover the remaining students in grades 10-12 she hired a Director to support Stephanie Brown (or maybe to cover the 10-12 grade principalship?)
One would think that a principal being paid Lead Principal Pay—the same pay that complex principals earn for supervising multiple schools— for responsibilities that included only the 9th grade would have increased student achievement considerably or at least met the goals of the CORE plan from the San Diego County Office of Education.
Were any academic goals met? Has anyone seen the report?
Marten is being praised for leading efforts towards an Anti-racist district:
I suppose hiring consultants to train staff over Zoom and making it optional might appear to be anti-racist, but I’m going to use Ibram X. Kendi’s stance that you are either racist or anti-racist.
• Is it racist or anti-racist to promote three principals with the highest discipline rates of black students to key roles like area superintendent, lead principal and complex principal so they can spread these inequitable practices across the system?
• Is it racist or anti-racist to hire an area superintendent to support all of the high schools in the system when her own suspension and expulsion record as a principal included more than 200 events in a school year…And pass over three qualified internal candidates with much better student data for the position?
• Is it racist or anti-racist to stop hosting the Black Minds Matter yearly event at Lincoln High School where suspension and expulsion data of black students was presented and discussed?
• Is it racist or anti-racist to wait until 12 weeks before you are nominated for Deputy Secretary of Education to focus on grading policies in SDUSD?
• Is it racist or anti-racist to focus on orchestrating moments that build your resume over helping improve the lives of students and their families?
Finally, while her oppressive and toxic reign may be past, the real culprits responsible for this situation are the San Diego Board of Education Trustees, especially Richard Barrera.
While I could spend another 10 pages detailing the ways in which they give/gave Cindy Marten cover, I will simply end by saying that they knew all along that the data in San Diego Unified was not good enough as evidenced by the July 26, 2019 board meeting where they extended her contract but assured the community that they knew that the data needed to improve.
And they told the public that they would give her until January 2020 to report on her progress.
But guess what?
That never happened, and it has never happened. There was no accountability, and they will probably blame COVID but that won’t work.
There were plenty of board meetings scheduled in January and the item wasn’t on any of them.
But then why would they hold her accountable to student outcomes when all of the important adult outcomes were being met?
I think we all know the answer to that.
They wouldn’t hold her accountable for student outcomes now because they haven’t since she was appointed Superintendent in 2013.
#NoMarten
District Deeds thanks Inside Unified for their amazing courage and unbelievable effort to create this “Trilogy of Truth” on behalf of ALL San Diego Unified School District Students, Parents, Teachers, Principals, Staff and Taxpayers.
_________________________________________________________
IF
- Your family has been injured by the San Diego Unified School District, go to the District Deeds Complaint Forms page to find instructions to fight for your Civil Rights!
- You want to be sure you don’t miss an issue of District Deeds, click the “follow” button below and you will get an email automatically when an article is published on District Deeds.
- If you prefer social media, click on Facebook, Twitter and LinkedIn and follow District Deeds!!!





Thanks this took me back I remember going to that board meeting and blasting that select group.
Sent from my T-Mobile 5G Device Get Outlook for Android ________________________________
LikeLike
Pingback: District Deeds Sunday Reads – Sunday, June 6, 2021: Placing the “Laser Like” Spotlight of Truth on the Lincoln High Claims of Trustee Sharon Whitehurst Payne! | District Deeds
Pingback: District Deeds Sunday Reads – Sunday, February 6, 2022: Pork Barrel “Community Schools” Just Another Looming Disaster for the Dysfunctional SDUSD Elephant!!! | District Deeds