Tags
San Diego County District Attorney, San Diego Police Department, San Diego Unified School District Superintendent Cindy Marten, SDUSD Police Department, Superintendent Marten
Since March 9, 2016, the day of the NAACP News Conference, many San Diego news organizations have presented their version of the NAACP position on the Lincoln High School altercation.
ALL of those news sources have presented their own spin on the comments of Dr. Branch, the President of the NAACP – San Diego Branch and many printed a WORD FOR WORD Statement by the San Diego Unified School District, the District Attorney office and/or the San Diego Police Department.
District Deeds was at the NAACP press conference and received a document that was distributed to ALL the news organizations that were present.
Over the last EIGHT DAYS since that news conference, we discovered a disturbing fact.
Over the last EIGHT DAYS we continued to check local news sites and could not find the following NAACP document distributed on March 9th by Dr. Branch anywhere!
Although this carefully crafted document essentially made an unassailable case for releasing the video along with calling out the SDUSD Police Department and Superintendent Cindy Marten for NOT following the established Restorative Justice procedure…
NOT ONE SAN DIEGO NEWS ORGANIZATION PUBLISHED IT!
Not Fox 5 San Diego
Not CW 6 San Diego
Not the San Diego Union Tribune
Not the Voice of San Diego
Not the San Diego Free Press
Not the San Diego Reader
WHY can District Deeds, a Blog with an $8 a month budget, able to provide this key NAACP document while the multimillion dollar San Diego news organizations, and the BILLION dollar Public Relations Propaganda Departments of the SDUSD and local government agencies cannot?
Is is bias…laziness…or blindness?
Again…not even ONE of the San Diego News Organizations or any Government Organization serving the Taxpayers above posted the FULL document provided to them by Dr. Branch and the NAACP.
Instead, they provided a watered down version of what the document outlined and video snippets of what Dr. Branch said.
Many posted SDUSD Superintendent Marten and the Public Relations Propaganda Department disinformation and spin and presented it as fact.
Many presented a wildly false narrative of the events at Lincoln High School (without being able to view the videotape of the incident) based on hearsay and random, unnamed “witness” testimony.
The false or incomplete narrative provided by the news organizations prompted racist comments and false opinions by their readers and viewers making it even MORE difficult to achieve JUSTICE for all the parties involved.
Here is one of the more recent incomplete/inaccurate examples from the Voice of San Diego :
The story, as told by witnesses and prosecutors, starts with a group of students who were roughhousing at lunchtime.
At one point, a police officer, Bashir Abdi, arrived and tried to break up a scuffle. The group dispersed, but Abdi followed one student into an adjacent parking garage. An altercation between Abdi and several students ensued. Students beat Abdi. Abdi called for back-up. He Tased one student and several others were pepper-sprayed.
Voice of San Diego – 3/17/16
District Deeds attended the NAACP Meeting and the Press Conference and can testify that there is much more to what REALLY happened, both historically and on that day, than is communicated through this typical, inaccurate coverage of the Lincoln Altercation story through the local media.
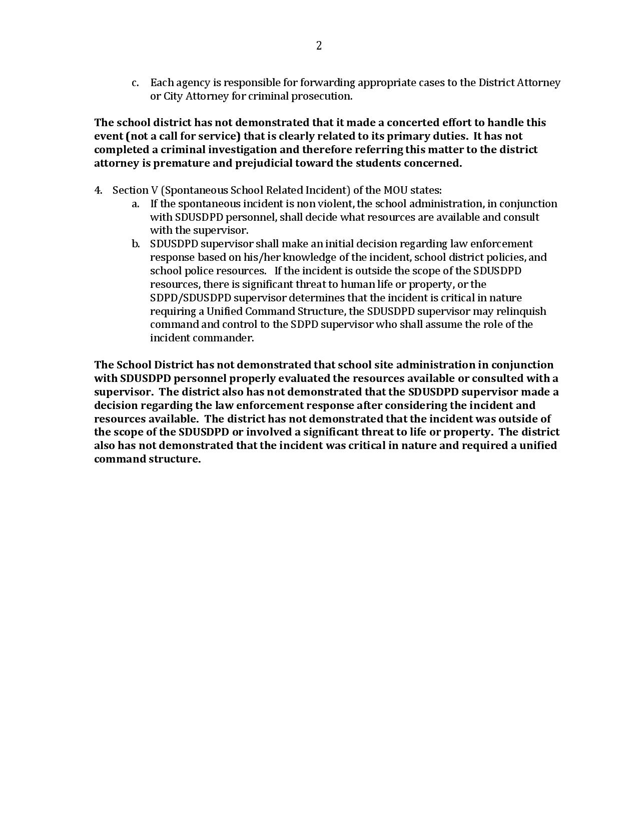
District Deeds is honored to post the EXACT DOCUMENT provided to ALL local press by Dr, Branch and the membership of the NAACP-San Diego Branch…the document the local media NEGLECTED to publish
We STRONGLY URGE the local San Diego media to DIG DEEPER to tell the WHOLE story and not just the propaganda of their MEDIA SPIN contacts in the SDUSD and the San Diego City and County Governments.
We STRONGLY URGE the SDUSD Stakeholders to HOLD SUPERINTENDENT MARTEN ACCOUNTABLE for handing over accused SDUSD students WITH NO INVESTIGATION and betraying the Restorative Justice SDUSD-SDPD Memorandum of Understanding with the Lincoln Community.
We STRONGLY URGE the District Attorney to RELEASE THE LINCOLN HIGH SCHOOL VIDEO!
Please click the following link to sign the Petition:
RELEASE ALL THE LINCOLN HIGH SCHOOL ALTERCATION VIDEOS NOW!
If anything of the recent events nationally by violence between the police and the community has been learned, NO Justice can be served by covering up the video.
DISTRICT DEEDS URGES THE SUPPORT OF ALL SDUSD STAKEHOLDERS FOR THE RELEASE OF ALL THE VIDEOS NOW!!!
______________________________________________
IF YOU ARE TIRED OF THE COVER UPS AND LIES BY SUPT. CINDY MARTEN…
Please Click the Link Below and sign the Petition Today and READ the COMMENTS to Support the REMOVAL of Marten by SDUSD Stakeholders!
FIRE San Diego Unified School District Superintendent Cindy Marten Immediately!
If this news has inspired you to share important SDUSD information for a future post, please send us an email at districtdeeds@gmail.com – confidentiality is assured!
To stay up on ALL the NEWS and get ALL the REAL information about the SDUSD…scroll to the bottom of this page and “Follow” the District Deeds Blog right now!













Pingback: Sexual Assault Lies and Cover Up Disqualify Cindy Marten as San Diego Unified Superintendent | District Deeds
Pingback: NEWS FLASH!!! SDUSD Supt. Cindy Marten Sinks to New Ethical Low in Lincoln High Principal Selection Scam! | District Deeds