Tags
San Diego Unified Board of Education, San Diego Unified School District, San Diego Unified School District Superintendent Cindy Marten, SDUSD Trustee Richard Barrera
Multiple sources within the San Diego Unified School District (SDUSD) have notified District Deeds that the California Department of Education (CDE) has requested that the SDUSD immediately begin to provide Weekly reports containing Student Daily Participation and Weekly Engagement information.
According to EdSource article titled “California Schools Must Provide Daily Live Interaction, Access to Technology This Fall“, the CDE had already required daily reports.
The BIG question is:
Why has the Daily, Weekly and Cumulative Participation and Engagement information NOT been provided to ALL SDUSD Stakeholders?
The BIG answer to that question is:
The SDUSD obviously DOES NOT want SDUSD Stakeholders to know about the miserable actual 1920/21 attendance and enrollment data!
District Deeds requests that ALL local news organizations interested in government transparency request the accurate daily, weekly and year to date cumulative participation, engagement, attendance and enrollment IMMEDIATELY!!!
Here is the email from the SDUSD:
NOTE: Please click on document to enlarge
The email says that the SDUSD resisted the reporting (no surprise) but the CDE insisted :
“When the template was released, many districts, including ours, lobbied for the state to rescind the weekly engagement log requirement and advocated to only require daily attendance reporting procedures. After much discussion and deliberation, the state has upheld the requirement for a weekly engagement log but has allowed flexibility for districts to create reporting tools based on the student information systems they utilize.”
According to the email, the SDUSD IT Department already has produced the data:
“Over the past few weeks, our IT department has examined all of the ways that this information could be reported centrally with the least amount of impact on educators. They have been able to create logs using daily attendance and application login times when students use their sandi.net accounts.”
Since the IT department has already created “logs using daily attendance and application login times when students use their sandi.net accounts.”, we searched the dysfunctional NEW SDUSD website for “Daily Engagement Report in Power Teacher” to find them…
As expected, ZERO RESULTS!
So then we tried searching for “Weekly Engagement Report in Power Teacher”…
Again, As expected, ZERO RESULTS!
The SDUSD obviously DOES NOT want SDUSD Stakeholders to know about the miserable actual attendance and enrollment data despite throwing a bogus enrollment report out to concerned, well meaning ReOpen SDUSD advocates.
You can be sure if the information was positive, incompetent Superintendent Cindy Marten and corrupt Trustee Tricky Dick Barrera would have their Propaganda Department spewing the information out to any and all news organizations willing to listen.
Without any SDUSD information except for the above email, we decided to research info on the CDE website for details on the template and guidelines:
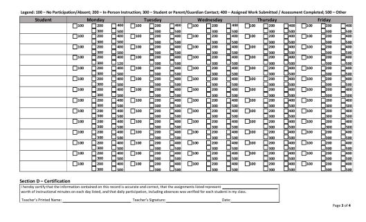
Here is the CDE Weekly Template sample:
Link: CDE Combined Daily Participation and Weekly Engagement Template
PDF: CDE Combined Daily Participation and Weekly Engagement Template
Here is the CDE Manual: CDE Weekly Reporting Manual
The SDUSD already has the information for attendance and participation by the day, by the week and cumulative for the 2020/21 school year so far.
We have only one thing to say to SDUSD “leadership”:
SHOW ALL SDUSD STAKEHOLDERS THE REAL ENROLLMENT AND PARTICIPATION NUMBERS NOW!!!
We encourage ALL SDUSD Stakeholders to have your voices heard on the current SDUSD “2020 State of the District”.
This Petition allows all SDUSD Stakeholders to post their “One Word” response (and any other additional comments) to the You Tube 2020 SDUSD State of the District.
#UNCONSCIONABLE
MARTENSGOTTAGO
#BARRERASGOTTAGO
__________________________________________________________
IF
- Your family has been injured by the San Diego Unified School District, go to the District Deeds Complaint Forms page to find instructions to fight for your Civil Rights!
- YOU ARE TIRED OF THE COVER UPS AND LIES BY SUPT. CINDY MARTEN…
Please Click the Link Below and sign the Petition Today and READ the COMMENTS to Support the REMOVAL of Marten by SDUSD Stakeholders!







